销售热线

首页 / 新闻中心 / 行业新闻 / 球荷的循环次数

球荷的循环次数

作者:雷火电竞机器时间:2010-10-07更新时间:2010-10-07

如果您想了解我们的产品,可以随时拨打我公司的销售热线或点击下方按钮在线咨询价格!
立即拨打电话享更多优惠:0371-67772626

在线咨询

钢球受力而产生运动,在分析这种运动过程中,描述了钢球的轨迹。研究钢球运动学的目的,在于建立决定转速、装球率、有用功率和生产率的基础。从钢球产生的磨矿作用来看,这些都必然与钢球对矿石的冲击次数有关。

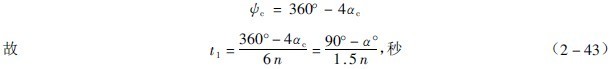
磨机一直是作圆运动的,但其中的钢球的运动轨迹,一部分是圆曲线,另一部分是抛 物线。因此,磨机转一转,钢球的运动未必也就是一个循环。钢球从脱离点A真抛到落回点B,比圆运动快,因而钢球总是超前的,换句话说,磨机转一转时,钢球不只循环运动一次。设%"是钢球作圆运动的时间,当磨机转一转时,用同样速度作圆运动的钢球转过的圆心角为,因此 由公式(2-38)可知

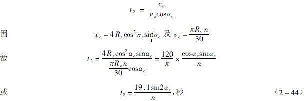
设t2为钢球作抛物落下的时间,取Ac点为坐标原点,则

从而钢球运动一个循环需要的时间为 磨机转一转钢球的循环次数于是为 由此式可知:钢球的循环次数取决于脱离角ac。当磨机转速不变时,不同的球层有不同的脱离角,它的循环次数也不同。磨机的转速越高,ac越小,循环次数也越少。到了钢球离心化时,ac=0,J=1,钢球贴在衬板上与磨机一起转动。

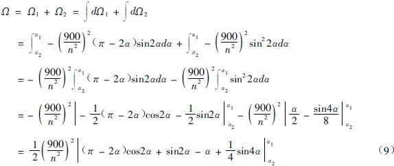
再从全部球荷来看,如图3-2-13,在磨机转一周的时间内,沿圆形轨迹经过断面AB的球的体积为 此处的L为磨机长:K=为装球率,磨机内装球的体积为。如果磨机转一转,全部钢球循环J次,则 于是 公式(2-20),指明,所以R2(或由它算出的K)的值依从转速n而有一极限值。超过此极小值,多加的那些球就不能作抛物落下。所以上式中的J,既与装球率有关,又通过K值而与磨机的转速有关。如图3-2-14表示的情况。图中曲线说明:转速率越大的,在同样装球率下,K值也越大,J值却较小。如果转速率相同,装球率越多,K值越小,J值却较大。这就是转速、装球量和影响冲击量的钢球循环次数的相互关系,从而况明了正确决定磨机转速的重要性。〔附〕图3-2-9中K、的关系式的证明装球率()与球荷切面积()的关系为 球荷切面积包含作圆曲线运动的切面积(1)和作抛物线运动的切面积(2)两部分,即 故须先求出12

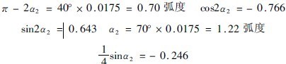
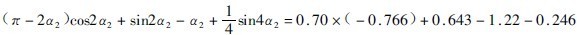
如下图,任取一球层,它的半径是R,此层球从落回点B作圆运动到脱离点A经历的圆弧所对的圆心角 当球层半径的变化为dR时,弧形面积的变化为 于是 球荷作抛物线运动的微分球荷截面积为: 式中的为筒体的角速度,t2为球在抛物线轨迹上运动的时间, 球荷截面积因此为 将此式代入公式(1)后,得到 下面作一例题说明公式(11)的用法。

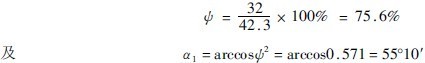
例:设磨机直径为D,它的每分钟转数是,试用公式(11)计算它的K、的对应值。

解:计算此种题目的步骤如下:

1、根据从给定的值算出a1

2、因必须a2>a1,依次选取任意角a2

3、由于角a1和a2用公式(11)算出

4、根据算出由题中给的数据,求得:

选取a2为70进行计算。

在线留言

姓名:

电话:

需求: