销售热线

首页 / 新闻中心 / 产品知识 / 振动筛筛分效率的计算及测定方法

振动筛筛分效率的计算及测定方法

作者:雷火电竞机器时间:2013-09-02更新时间:2013-09-02

如果您想了解我们的产品,可以随时拨打我公司的销售热线或点击下方按钮在线咨询价格!
立即拨打电话享更多优惠:0371-67772626

在线咨询

在使用振动筛时,筛子有两个重要的工艺指标:一个是处理能力,是表明筛分工作的数量指标。另一个是筛分效率,它是表明筛分工作的质量指标。筛上产品中,未透过筛孔的细级别数量愈多,说明筛分的效果愈差,为了从数量上评定筛分的完全程度,要用筛分效率这个指标。筛分效率的计算方法如下文介绍。

振动筛

所谓筛分效率,是指实际得到的筛下产物重量与入筛物料中所含粒度小于筛孔尺寸的物料的重量之比。筛分效率用百分数或小数表示。

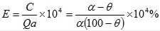
…………①,式中E是筛分效率(%),C是筛下产品重量,Q是入筛原物料重量,α是入筛原物料中小于筛孔的级别的含量(%)。

但实际生产中要测定C和Q是比较困难的,因此必须改用下面推导出的结果来进行计算:…………②。

必须指出,上式是指筛下产物中不含有大于筛孔尺寸的颗粒的条件下列出的物料平衡方程式,由于实际生产中,筛网常常被磨损,部分大于筛孔尺寸的颗粒总会或多或少的透过筛孔进入筛下产物,如果考虑这种情况,筛分效率应按下式计算:

…………③,式中β是筛下产物中所含小于筛孔级别的含量(%),θ是筛上产物中所含小于筛孔尺寸粒级的含量(%),α是入筛原物料中小于筛孔的级别的含量(%)。

振动筛

筛分效率的测定方法如下:在入筛的物料流中和筛上物料流中每隔15-20分钟取一次样,应连续取样2-4小时,将取得的平均试样在检查筛里筛分,检查筛的筛孔与生产上用的筛子的筛孔相同。分别求出原料和筛上产品中小于筛孔尺寸的级别的百分含量α和θ,代入公式②中可求出筛分效率。如果没有与所测定的筛子的筛孔尺寸相等的检查筛子时,可以用套筛作筛分分析,将其结果绘成筛析曲线,然后由筛析曲线图中求出该级别的百分含量α和θ。

在线留言

姓名:

电话:

需求: